Lập trình C cơ bản ( Free )
Số lượng bài học : 50
Ngày khởi tạo : 2023-04-11 08:23:54
Chỉnh sửa gần nhất : 2026-04-04 10:21:00
Bài viết gần nhất : 2023-04-11 13:55:53
Bài viết
Bảng giá
Bảng giá
Giá MTGold : 100
Giá MTSilver : 100
Thông tin quan trọng
Mô tả
Lập trình C căn bản
-
Ngôn ngữ lập trình C là gì? – Tại sao sử dụng C?
-
File I/O trong C – Các hàm xử lý File trong C
-
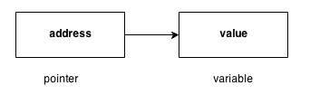
Call by reference – gọi hàm theo tham chiếu trong C
-
Call by value – gọi hàm theo giá trị trong C
Share Profile
-
Owner
-
Editor
-
Viewer
-
Owner
-
Editor
-
Viewer
-
Owner
-
Editor
-
Viewer
Give Award
-
Owner
-
Editor
-
Viewer
-
Owner
-
Editor
-
Viewer
-
Owner
-
Editor
-
Viewer
Report User
reporting will not be informed that you've submitted it
Thông tin chính MTViet
Khái niệm trong TKwebs
Khái niệm trong TKwebs
Thông tin chính MTViet
Quản trị và bảo mật website
Quản trị và bảo mật website
Quản trị và bảo mật website
Quản trị và bảo mật website
This is excellent news!
Haven't seen the build yet, I'll look now.
Checking the build now